Oh mis Te nüüd, juba ammuses kinukunstis on lause (Noor pensionär): "Seltsimees kunstiteadlast me oleme nõus kuulama tundide kaupa". Ilmselt EH. lisaks ja ongi meil vaikus majas.madis64 kirjutas: 08 Juun 2025, 17:16 Jätke piinatud keenjus rahule, ta ei suuda isegi teksti bold-i keerata.
Füüsika teema
- 
				suvaline
- Ehitusveteran 
- Postitusi: 1024
- Liitunud: 20 Jaan 2019, 18:17
- On tänanud: 13 korda
- On tänatud: 29 korda
Re: Füüsika teema
Lugemata postitus Postitas suvaline »
- 
				madis64
- Ehituspenskar 
- Postitusi: 3395
- Liitunud: 22 Juun 2009, 22:16
- On tänanud: 30 korda
- On tänatud: 85 korda
Re: Füüsika teema
Lugemata postitus Postitas madis64 »
- 
				T25
- Ehitusveteran 
- Postitusi: 1282
- Liitunud: 14 Mai 2007, 13:15
- On tänanud: 5 korda
- On tänatud: 16 korda
Re: Füüsika teema
Lugemata postitus Postitas T25 »
Silmadega kõik korras?madis64 kirjutas: 08 Juun 2025, 17:16 Jätke piinatud keenjus rahule, ta ei suuda isegi teksti bold-i keerata.
Teistele aga, te ei vasta ju küsimusele?
Kordan küsimust, et kas teise ilma läinud kriitikute arvamused võib kalevi alla lükata, sest teadus on edasi liikunud?
- 
				madis64
- Ehituspenskar 
- Postitusi: 3395
- Liitunud: 22 Juun 2009, 22:16
- On tänanud: 30 korda
- On tänatud: 85 korda
Re: Füüsika teema
Lugemata postitus Postitas madis64 »
Tänan muretsemast, ales hiljuti optometristi testid läbitud ja tööle tagasi lubatud.
Kuid sinu tsiteeritud tekstis on bold-i algusmarker puudu.
- 
				EH.INS.
- Ehituspenskar 
- Postitusi: 3404
- Liitunud: 29 Juul 2024, 10:56
- On tänanud: 1 korda
- On tänatud: 81 korda
Re: Füüsika teema
Lugemata postitus Postitas EH.INS. »
Kellelt Sa vastust ootad?Kordan küsimust, et kas teise ilma läinud kriitikute arvamused võib kalevi alla lükata, sest teadus on edasi liikunud?
Siinses foorumis pole inimest kes saaks objektiivselt / adekvaatselt hinnata kes / kus / millega / kuidas eksis või mitte...
Üle jõu käib... Puuduvad sel tasemel teadmised et kaasa rääkida...
Kuna Sinu targutamine käib läbi AI siis panin Sulle AI vastuse - millega Sa rahul pole???
Vaidle AI-ga edasi...
- 
				suvaline
- Ehitusveteran 
- Postitusi: 1024
- Liitunud: 20 Jaan 2019, 18:17
- On tänanud: 13 korda
- On tänatud: 29 korda
Re: Füüsika teema
Lugemata postitus Postitas suvaline »
Miks keegi peaks Teiega argumenteerima, sest Te ise seda ei oska, loobite siia AI temaatikat?EH.INS. kirjutas: 08 Juun 2025, 18:59 Viimane kommentaar
Kellelt Sa vastust ootad?Kordan küsimust, et kas teise ilma läinud kriitikute arvamused võib kalevi alla lükata, sest teadus on edasi liikunud?
Siinses foorumis pole inimest kes saaks objektiivselt / adekvaatselt hinnata kes / kus / millega / kuidas eksis või mitte...
Üle jõu käib... Puuduvad sel tasemel teadmised et kaasa rääkida...
Kuna Sinu targutamine käib läbi AI siis panin Sulle AI vastuse - millega Sa rahul pole???
Vaidle AI-ga edasi...
Ikka väga huvitav on, et kuidas Te teate, et siinses foorumis pole inimest, "kes saaks objektiivselt / adekvaatselt hinnata kes / kus / millega / kuidas eksis või mitte..."
Tüüpne tema: juttu jätkub kauemaks, kui udu ajada ...
- 
				EH.INS.
- Ehituspenskar 
- Postitusi: 3404
- Liitunud: 29 Juul 2024, 10:56
- On tänanud: 1 korda
- On tänatud: 81 korda
Re: Füüsika teema
Lugemata postitus Postitas EH.INS. »
AI tõin sisse vaid seetõttu, et teemaalgataja kogu jutt põhineb AI-l
Kuidas ma tean: ega päris täpselt ei teagi - lihtsalt loogika - see inimene kes teemat valdab ei kommenteeriks siin...
- 
				suvaline
- Ehitusveteran 
- Postitusi: 1024
- Liitunud: 20 Jaan 2019, 18:17
- On tänanud: 13 korda
- On tänatud: 29 korda
Re: Füüsika teema
Lugemata postitus Postitas suvaline »
Osaliselt ma isegi nõustun Teiega.EH.INS. kirjutas: 08 Juun 2025, 19:44 @ suvaline
AI tõin sisse vaid seetõttu, et teemaalgataja kogu jutt põhineb AI-l
Kuidas ma tean: ega päris täpselt ei teagi - lihtsalt loogika - see inimene kes teemat valdab ei kommenteeriks siin...
Ise olen seda meelt, et ega pole mõtet diskuteerida inimestega, kes peamiselt AI temaatikast lähtuvad. Eriti, kui nende varasematest postitustest on näha, et ega rohkemat polegi loota.
Kindlasti jään Teiega eriarvamusele selles osas, et "see inimene kes teemat valdab ei kommenteeriks siin...". Täna oli ilus päev ja B ning D vitamiini kogused suurenesid ning lisaks ka huumori kogused.
- 
				EH.INS.
- Ehituspenskar 
- Postitusi: 3404
- Liitunud: 29 Juul 2024, 10:56
- On tänanud: 1 korda
- On tänatud: 81 korda
- 
				EH.INS.
- Ehituspenskar 
- Postitusi: 3404
- Liitunud: 29 Juul 2024, 10:56
- On tänanud: 1 korda
- On tänatud: 81 korda
Re: Füüsika teema
Lugemata postitus Postitas EH.INS. »
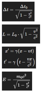
...siis paluks härrastel (ilma AI abita) selgitada valemeid:Erirelatiivsusteooria (ERT) – see on matemaatiliselt lihtne ja kontseptuaalselt sügav. Piisab keskkooli taseme algebrast ja füüsikast, et aru saada näiteks aja aeglustumisest, pikkuse lühenemisest ja
𝐸=𝑚𝑐2 tähendusest.
- Valemid.jpg (10.37 KiB) Vaadatud 1783 korda
- 
				T25
- Ehitusveteran 
- Postitusi: 1282
- Liitunud: 14 Mai 2007, 13:15
- On tänanud: 5 korda
- On tänatud: 16 korda
Re: Füüsika teema
Lugemata postitus Postitas T25 »
Ilma wiki ja netis sobramise abita ei saa, aga ma proovin ajanihet selgitada:siis paluks härrastel (ilma AI abita) selgitada valemeid:
wiki leht on siin:
https://en.wikipedia.org/wiki/Time_dilation
Seal oleval joonisel on kaks peeglit, mille vahel põrgatatakse footonit.
Esimesel juhul, kui peeglid on paigal, siis on aeg, mis kulub footonil peeglite vahel põrkamiseks:
t=2L/C
Nüüd aga, kui panna need peeglid näiteks rongi sisse ja rong hakkab liikuma, siis nagu jooniselt on näha, hakkab footon liikuma välisele vaatlejale diagonaalselt ja seetõttu peab läbima pikema tee D.
t`=2D/C
Ja nüüd siis kasutatakse Phythagorase teoreemi ja saadakse lõpuks see ajanihke valem. Kuna wiki matemaatika on veits keeruline minu jaoks ja pole kõiki asju täpselt läbi tehtud, siis plagieerin üht lihtsamat seletust, mille leidsin netist:
Näiteks kui peeglite vahe on 1 m, siis
Paigalseisvas süsteemis:
aeg, mis kulub footonil jõudmiseks ühelt peeglilt teisele ja tagasi
t=2/c sekundit
Liikuvas süsteemis:
aeg, mis kulub footonil jõudmiseks ühelt peeglilt teisele: diagonaalse tee pikkus on Cxt
Pythagorase teoreem:
(ct)2= 1ruudus+(vt)2
(ct)2 – (vt)2 = 1
t2(c2 – v2) = 1
t=1/ruutjuur(c2-v2) sekundit
ühel peeglilt teisele ja tagasi kulub seega:
2t=2/ruutjuur(c2-v2) sekundit
Et ajanihke faktorit saada, jagatakse liikuva süsteemi aeg( 2/ruutjuur(c2-v2) läbi seisva süsteemi ajaga( 2/C):
Kahed taanduvad välja, C kolib üles, saadakse:
γ= C/ruutjuur( c2-v2)
ja kui lugejat ja nimetajat vist( täpselt ei olnud näidatud, mida tehti) jagada läbi C-ga, siis saame kirjutada kujul:
γ=1/ruutjuur(1-v2/c2)
- 
				T25
- Ehitusveteran 
- Postitusi: 1282
- Liitunud: 14 Mai 2007, 13:15
- On tänanud: 5 korda
- On tänatud: 16 korda
Re: Füüsika teema
Lugemata postitus Postitas T25 »
- 
				EH.INS.
- Ehituspenskar 
- Postitusi: 3404
- Liitunud: 29 Juul 2024, 10:56
- On tänanud: 1 korda
- On tänatud: 81 korda
Re: Füüsika teema
Lugemata postitus Postitas EH.INS. »
Piisab, kui heita pilk valemile (nimetaja, lugeja), et näha kuidas erinevate vaatlejate jaoks (erinev taustsüsteem) aeg on erinev (relatiivsus)
Antud on analoogne valem ka pikkuse kohta...
Analoogne valem kehtib massi kohta...
Täpsemalt: keha dünaamiline vastupanu kiirendamisele so relatiivne inerts kasvab
Paradoks ei seisne mitte eelnevas - paradoks on hoopis see, et tahtes saavutada valguse kiiruse lähedast suurust suureneb relatiivne inerts sedavõrd, et energiahulk selle saavutamiseks muutub meeletuks
LISA
Sellest ka kiirendite (nt CERN) meeletu energiavajadus...
- 
				T25
- Ehitusveteran 
- Postitusi: 1282
- Liitunud: 14 Mai 2007, 13:15
- On tänanud: 5 korda
- On tänatud: 16 korda
Re: Füüsika teema
Lugemata postitus Postitas T25 »
PS. Kaksikute paradoks on selles, et ka sina võid väita, et hoopis su kaksik seisab paigal ja sina tegid maakeraga sõitu tema kosmoselaeva suhtes, mis seisab paigal.
Vastust tahan esimesele küsimusele.
- 
				EH.INS.
- Ehituspenskar 
- Postitusi: 3404
- Liitunud: 29 Juul 2024, 10:56
- On tänanud: 1 korda
- On tänatud: 81 korda
Re: Füüsika teema
Lugemata postitus Postitas EH.INS. »
Teooria seob erinevad asjad tervikuks...
Ja katsed seda tõestavad - nt Michelson-Morley, Kennedy–Thorndike, Ives–Stilwell jne
Kõik esitatud ERT-d käsitlevas kirjanduses (kui pole tutvunud siis tutvu)
Või CERN...
Puudub pädevus seda vaidlustada
Aga Sa lükka ümber...
LISA
Sinu piiratud mõttekäik (ja mitte ainult siinkohal) tuleneb sellest, et Sa ei erista kiiruse suurusjärke - jutt käib valguse kiirusele lähenevatest kiirustest...
Siinkohal Newtoni füüsika ei selgita "asju"
Vbl aitaks Sind see kui endale selgeks teha mis asi on Lorentzi tegur
LISA 2
Millegipärast mulle näib, et keskkooli füüsikaga ikka toime ei tule...
- 
				T25
- Ehitusveteran 
- Postitusi: 1282
- Liitunud: 14 Mai 2007, 13:15
- On tänanud: 5 korda
- On tänatud: 16 korda
Re: Füüsika teema
Lugemata postitus Postitas T25 »
Sama küsimus ka teistele siin, et selgitada välja, kes on siin Einsteini teooriate uskujad ja kes ei ole. Võib olla on ka vahepealseid, et natuke usun seda ja seda mitte. Ootan mõtteid, ideid, arvamusi.Lihtne küsimus, EH.INs, kui sul oleks kaksik ja ta läheks kosmoselaevaga ja teeks tiiru suure kiirusega ja tuleks maale tagasi, siis kas ta on vähem vananenud ja sina raugastunud (või hoopis ammu teise ilma läinud)
- 
				EH.INS.
- Ehituspenskar 
- Postitusi: 3404
- Liitunud: 29 Juul 2024, 10:56
- On tänanud: 1 korda
- On tänatud: 81 korda
Re: Füüsika teema
Lugemata postitus Postitas EH.INS. »
Seda saab katsetada, on katsetatud ja igal päeval rakendatakse...
Mitte segi ajada religiooniga a-la "rohepööre"
- 
				T25
- Ehitusveteran 
- Postitusi: 1282
- Liitunud: 14 Mai 2007, 13:15
- On tänanud: 5 korda
- On tänatud: 16 korda
Re: Füüsika teema
Lugemata postitus Postitas T25 »
Ütle mulle lihtsalt ja oma sõnadega, mis oli Michelson Morey katse eesmärk , tulemused ja mis nendes tulemustes kinnitas, et Einsteini erirelatiivsusteooria on õige.
PS, lisan siia teistele info mõttes, et see katse tehti 18 aastat enne Einsteini relatiivsusteooriat.
- 
				EH.INS.
- Ehituspenskar 
- Postitusi: 3404
- Liitunud: 29 Juul 2024, 10:56
- On tänanud: 1 korda
- On tänatud: 81 korda
Re: Füüsika teema
Lugemata postitus Postitas EH.INS. »
Valguse kiirus on sama kõigis suundades
Valguse kiirus ei sõltu vaatleja liikumisest
Kennedy–Thorndike:
Valguse kiirus erineval ajal ja eri suundades - erinevate liikumiskiirustega orbiidil
Nullnihe – valguse kiirus püsib muutumatuna hoolimata Maa liikumisest
Kella käik ja pikkus kohanevad liikumisega
Ives–Stilwell:
Doppleri nihe ja aja dilatatsioon
Kiiresti liikuvate osakeste spektrijooned nihkuvad nii, nagu ERT ennustab
Liikuv kell aeglustub – mõõdetav ja kinnitatud
JNE...
LISA
Tasuks uurida ka ERT rakendamist nt GPS-s ja nt CERN-s
LISA 2
ERT-ga olen enam-vähem "kodus" - so saan sellest mh ka matemaatiliselt aru
ÜRT on teine asi - Riemanni geomeetria, diferentsiaalgeomeetria, ruumi kõverdumine jms - käib üle jõu
- 
				T25
- Ehitusveteran 
- Postitusi: 1282
- Liitunud: 14 Mai 2007, 13:15
- On tänanud: 5 korda
- On tänatud: 16 korda
Re: Füüsika teema
Lugemata postitus Postitas T25 »
Michelsoni-Morley katse oli üks tähtsamaid eksperimente füüsika ajaloos, mille eesmärk ja tulemus mängisid olulist rolli Einsteini relatiivsusteooria arengus.
Katse eesmärk:
sajandi lõpus arvati, et valgus levib läbi eetri – nähtamatu aine, mis täidab kogu universumi ja toimib valguse kandjana, nagu õhk helilainete puhul. Michelson ja Morley soovisid kontrollida, kas Maa liikumine läbi eetri mõjutab valguse levikut.
Eesmärk:
Tuvastada "eetrituul" – erinevus valguse kiiruses, mis tekib Maa liikumisel läbi eetri.
Tõestada, et eeter eksisteerib.
Katse ülesehitus:
Nad kasutasid interferomeetrit, et mõõta väga väikeseid erinevusi valguse teekonnas kahes risti asetsevas suunas. Kui Maa liigub läbi eetri, peaks valguse levimiskiirus eri suundades veidi erinema ning see tekitaks häirituse valgusinterferentsis.
Tulemus:
Negatiivne tulemus: nad ei leidnud erinevust valguse kiiruses eri suundades.
See viitas, et eeter ei eksisteeri või Maa ei liigu selle suhtes — mis oli absurdne mõte tolle aja füüsikute jaoks.
Seos Einsteiniga ja mida see tõestas:
Albert Einstein tuli 1905. aastal välja oma erirelatiivsusteooriaga, mille üks põhiprintsiip oli:
Valguse kiirus vaakumis on kõigi vaatlejate jaoks alati sama, sõltumata nende liikumisest.
Michelson-Morley katse toetas seda ideed — kui valgus ei vaja eetrit ja selle kiirus ei sõltu vaatleja liikumisest, siis Einsteini teooria on õige.
Ainuke asi , et ei tuvastatud nn nulltulemust.
Tsitaat:
T
Michelson-Morley enda sõnad:HE FATEFUL MISINTERPRETATION OF THE MICHELSON-MORLEY
EXPERIMENT
The aether was once the most compelling concept in physical science, but it fell into question after the famous Michelson (1852-1931) and Morley (1838-1923) experiment of 1887 failed to produce their expected results. Michelson and Morley attempted to experimentally prove or disprove the existence of a luminiferous aether in their famous “aether wind” experiment. [18] The experiment was done using an interferometer with a light beam, split into two, and traveling in perpendicular directions that were then recombined. The resulting interference patterns were compared to look for any differences associated with different propagation directions. The assumption was that if there was aether, then the earth’s orbital speed of 30km/sec should be measured if travel times of light beams in the direction of motion and perpendicular to it were compared. If no aether existed, then the measurement should yield no difference. Surprisingly, the averaged results from multiple measurements were 8.8km/sec when taken at noon, and 8.0km/sec when taken at 6pm. While Michelson and Morley did not expressly claim a null-result in their 1887 publication, over the years their partial “aether wind” result was downgraded to a “null” result by most scientists.
Wikis on tabel, kus saab tulemusi vaadata:"The relative velocity the aether with regard to the Earth is probably less than
one sixth of the Earth’s orbital velocitym, and certainly less than one fourth"
https://en.wikipedia.org/wiki/Michelson ... experiment
Sealt tabelist on näha, et Dayton Milleri nimeline mees tegi samuti katseid . Ta tegi üle 12000 katse aastatel 1925-26 ja üle terve aasta. MM tegi 36 katset.
Tsitaat:
Mida Einstein ütles Milleri katsete peale:More interestingly we see that Dayton Miller’s 1921 and 1925/26 experiments consistently yielded the values “8-10 km/s”
Einstein saatis talle kirja ja ütles, et sul ilmselt temperatuuridega mingi jama."Not for one moment did I take Miller's results seriously. I assumed that they
are based on a fundamental error. Otherwise the Special Theory of Relativity,
and with it the General Theory in its current form, would both collapse like a
house of cards. 'Experimentum summus judex'
Millelel Miller vastas ajalehele:
"The trouble with Professor Einstein is that he knows nothing about my results.
He ought at least to give me credit for knowing about temperature differences.
I am not so simple as that."
PS! Referentsi mõttes isan siia, et väidetav maakera liikumine orbiidil ümber päikese pidi toimuma kiirusel 30km/s. Seda üritati katsetega ka avastada. Avastati Morley-Mihelsoni puhul 4-8 km/s ja Milleri puhul 8-10 km/s
- 
				EH.INS.
- Ehituspenskar 
- Postitusi: 3404
- Liitunud: 29 Juul 2024, 10:56
- On tänanud: 1 korda
- On tänatud: 81 korda
Re: Füüsika teema
Lugemata postitus Postitas EH.INS. »
Palun tõesta, et ERT on jura...
Ja palun MATEMAATILISET...
- 
				T25
- Ehitusveteran 
- Postitusi: 1282
- Liitunud: 14 Mai 2007, 13:15
- On tänanud: 5 korda
- On tänatud: 16 korda
Re: Füüsika teema
Lugemata postitus Postitas T25 »
Dayton Miller oli tõepoolest tuntud ja kogenud eksperimentaalfüüsik, kuid tema katsed ja järeldused — eriti seoses eetriga — on aegade jooksul osutunud probleemseks ja valesti tõlgendatuks.
Kes oli Dayton Miller?
Ameerika füüsik, kes töötas 20. sajandi alguses.
Soovis korrata ja täiustada Michelsoni-Morley katset.
Kasutas täpsemat interferomeetrit ja viis katsed läbi pikema aja jooksul (erinevad aastaajad, kõrgmäestikus jne).
Väitis, et ta leidis väikese, aga püsiva interferentsinihke, mis viitaks Maa liikumisele eetri suhtes.
Kas tema katsed olid "korralikud"?
Jah – mõnes mõttes:
Ta kasutas tehniliselt väga head aparatuuri.
Tegi väga palju mõõtmisi, rohkem kui Michelson ja Morley.
Püüdis olla põhjalik ja süstemaatiline.
Aga – olulised probleemid:
Tema andmetes oli palju mürataset ja süsteemseid vigu (nt temperatuur, vibratsioonid).
Ta ei eemaldanud korrektselt müra ja keskkonnamõjude mõju.
Hilisemad analüüsid (eriti 1950ndatel ja 2000ndatel) näitasid, et tema "tulemus" oli statistiline artefakt, mitte tõeline interferentsinihe.
Mida hilisem teadus näitas?
aastatel analüüsis Dayton Milleri toorandmeid Shankland koos kolleegidega.
Nad leidsid, et tulemused olid põhimõtteliselt selgitatavad temperatuurimõjudega ja kohalikus keskkonnas toimuvaga, mitte liikumisega eetri suhtes.
See diskrediteeris Milleri järeldused, kuigi tema töö jäi ajalooliselt huvitavaks.
Lühidalt:
Küsimus Vastus
Kas Dayton Miller oli korralik katsetaja? Jah, ta oli pühendunud ja põhjalik eksperimentaator.
Kas tema tulemused olid usaldusväärsed? Ei, hilisem analüüs näitas, et tema järeldused olid valed ja põhinesid keskkonnamõjudel, mitte füüsikalisel nähtusel.
Kas ta lükkas ümber Michelsoni-Morley tulemused? Ei, tema tööd ei kinnitatud ja ei kõigutanud relatiivsusteooria aluseid.
Kui soovid, võin ka näidata, kuidas hilisemad teadlased tema andmeid statistiliselt ümber hindasid või miks Einsteini teooria jäi vaatamata Milleri väidetele kehtima.
Me näeme, et ta kasutas paremat tehnikat, kui MM , pikemaajaliselt jne. Lõpuks aga tema tulemused summutati, et kõik on vale ja valesti, temperatuurid , mürad jms särgid värgid.
Minu küsimus on, et kui juba Milleri tehnika oli kehvakene, et sellega midagi mõõta ei saa, siis mis annab õiguse MM tehnikat võtta puhta kullana, mille põhjal teooriaid ehitada.
- 
				EH.INS.
- Ehituspenskar 
- Postitusi: 3404
- Liitunud: 29 Juul 2024, 10:56
- On tänanud: 1 korda
- On tänatud: 81 korda
Re: Füüsika teema
Lugemata postitus Postitas EH.INS. »
MM katse on ÜKS PALJUDEST mis kinnitavad ERT-d...
Palun võta min 3 kuud (eeldusel, et oled keskkooli füüsikas ja MATEMAATIKAS 5+), iga päev min 5h, et asjasse süveneda
Ja siis postita siia uuesti
NB!!! AI jäta kõigest kõrvale!!!
- 
				suvaline
- Ehitusveteran 
- Postitusi: 1024
- Liitunud: 20 Jaan 2019, 18:17
- On tänanud: 13 korda
- On tänatud: 29 korda
Re: Füüsika teema
Lugemata postitus Postitas suvaline »
Õige EH.INS.EH.INS. kirjutas: 09 Juun 2025, 16:53 Miks Sa ometi räägid asjadest millest mitte midagi ei tea...
MM katse on ÜKS PALJUDEST mis kinnitavad ERT-d...
Palun võta min 3 kuud (eeldusel, et oled keskkooli füüsikas ja MATEMAATIKAS 5+), iga päev min 5h, et asjasse süveneda
Ja siis postita siia uuesti
NB!!! AI jäta kõigest kõrvale!!!
Kuidas julgeb mingi T25 jahudal teemal, kui pole enne 5h aega võtnud, lisaks söönud progandeid ja tutvunud kunstnikerdustega esmaabikappide tootmisega?
Enne rannajoone muutmist ("Mehed ei nuta") soovitaksin läbi viia uuringud Foucault' pendli osas, foto allpool, et kas maakera on siiski ümmargune või siiski geoid.
- Manused
- 
			
		
				- Yksik.jpg (30.77 KiB) Vaadatud 858 korda
 
- 
				EH.INS.
- Ehituspenskar 
- Postitusi: 3404
- Liitunud: 29 Juul 2024, 10:56
- On tänanud: 1 korda
- On tänatud: 81 korda
Re: Füüsika teema
Lugemata postitus Postitas EH.INS. »
Kriitika on hea - kui see on konstruktiivne...
- Ehitusfoorum
- ↳ Üldfoorum
- ↳ Ahjud, kaminad, korstnad
- ↳ Aiad, väravad
- ↳ Aknad, uksed
- ↳ Betoon ja betoonitooted
- ↳ Ehitustööriistad
- ↳ Ehitusmaterjalid
- ↳ Elekter, elektriseadmed
- ↳ Energiamärgis ja energiaaudit
- ↳ Fassaadide arutelu
- ↳ Katused, laed
- ↳ Hüdroisolatsioon
- ↳ Kaevud
- ↳ Konstruktsioonid, seinad
- ↳ Küttesüsteemid
- ↳ Palkmajad
- ↳ Projekteerimine, projektid
- ↳ Põrandad
- ↳ Puit ja puidutooted
- ↳ Restaureerimine
- ↳ Seadusandlus
- ↳ Soojustus, isolatsioon
- ↳ Saunad, dussiruumid, vannitoad, sanitaartehnika
- ↳ Siseviimistlus, värvid, plaatimistööd
- ↳ Ventilatsioon
- ↳ Veevarustus, kanalisatsioon, käimlad
- ↳ Vundamendid
- ↳ Naljanurk
- ↳ Arhiiv
- Ärifoorumid
- ↳ Otsin tööd
- ↳ Pakun tööd
- ↳ Ostu-müügifoorum
- ↳ Annan/võtan rendile
- ↳ Hinnapäring